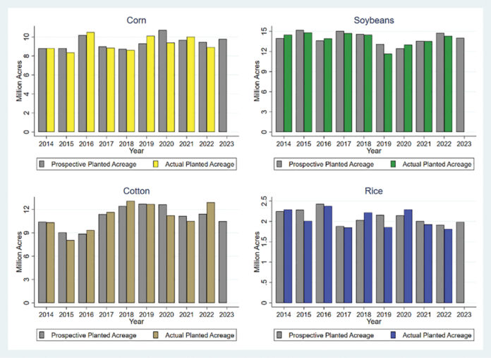
How reliable are the U.S. Department of Agriculture Prospective Planting report numbers as collected primarily based on surveys conducted by the National Agricultural Statistics Service? The NASS planted acreage projections across the U.S. generally hold well with low predictive error and hold especially well for corn and soybeans. However, there appears to be an error, albeit still quite small, when predicting planted acreage for cotton and rice.
There are likely two reasons stemming from the fact that cotton and rice are grown primarily in Southern states. The larger variance can be due to (1) the smaller sample size of farms and (2) the alternative crops available to plant in place of corn and soybeans.
Most of the U.S. corn and soybean acreage is grown in the upper Midwest but tends to take up acreage across the entire United States, which allows for a larger sample of farmers and less variance. In the South, farmers rotate corn and soybean crops with cotton, peanuts and even some vegetables. This makes it more difficult to project acres that may shift based on rotational needs, commodity prices, input costs and weather.
One way to investigate the difficulty in projecting acreage is by choosing the subsample of Southern states to see if 1) there is more variance across the changes in corn and soybean acreages given a smaller sample, and 2) the pattern of acreage changes across cotton and rice still holds in the subsample. We find this to be true.
We see more differences each year between prospective and actual planted acreages in corn and soybeans across Southern states, and the general pattern of differences each year for cotton and rice still holds between the full U.S. sample and the Southern subsample. This implies that we should generally not expect any significant changes in harvest price expectations driven by differences in planted acreages but rather look to future market-moving events. PG

